Click an item in the list below to jump to that resource.
| Lions of Illinois | State Convention News | Lions of Illinois Foundation |
- Lions of Illinois MD-1 Website
- Lions of Illinois Policy Manual & Budget (2023)
- MD-1 Constitution and Bylaws (2025)
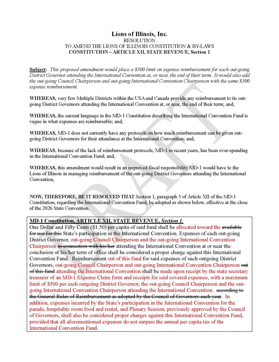
Governor Richard and CC Jim Worden have asked that the attached revisions and resolutions be posted for all the clubs. These will be presented at the State Convention and voted on. If you are attending the State Convention and plan to be a delegate it is important that you read these. There will be discussion before the voting at the convention.
| Constitution & By-Laws Report | Resolution to Amend the Lions of Illinois Constitution & By-Laws |
For more information about the MD-1 State Convention, click the flyer thumbnail below. Or visit the State Convention's online registration page.
- Lions of Illinois Foundation Website
- Foundation History
- LIF Policy Manual
- LIF Forms Webpage
- Trustee Brochure
- Lions of Illinois Foundation Trustees (2025-2027)
Lions Share (March/April 2026)








